據美國糖尿病協會估計,全世界每 30 秒就有一條腿被截肢,其中 85% 是由糖尿病足潰瘍并發癥引起。我國 50 歲以上的糖尿病患者,糖尿病足的發病率高達 8.1%,而糖尿病足潰瘍(DFU)患者年死亡率高達 11%。
根據國際健康與臨床標準化治療策略,早期有效的糖尿病足管理可以大幅降低并發癥的嚴重程度,顯著減低截肢率和死亡率,提高患者生活質量。根據目前大量研究顯示,促進糖尿病足愈合的治療方法主要有:血糖控制、傷口清創、敷料護理治療、血運重建手術、高壓氧治療、電刺激、負壓傷口治療、生物工程皮膚和生長因子應用。
01 什么是糖尿病足?
糖尿病足是指糖尿病患者由于并發下肢神經病變及不同程度周圍血管病變而導致的足部感染、足部潰瘍和/或深部組織破壞。其中糖尿病足的潰瘍連續性、可重復性和不愈合性是這種并發癥的主要特征,也是糖尿病患者下肢截肢的主要原因。
目前糖尿病足尚無有效治療方法,患者會發生反復感染和無法愈合的潰瘍,最終不得不接受截肢,其已成為嚴重危害人類健康的疾病之一,迫切需要研發有效治療手段。干細胞療法的誕生為處于困境之中的糖尿病足點燃了治療的新希望,越來越多的研究正在證實干細胞療法治療糖尿病足的安全性與有效性。
02 干細胞有望成為治療糖尿病足新方法
近日,國際研究者在 world journal of plastic surgery 雜志上發表了關于間充質干細胞治療糖尿病足的綜述,分析了 22 篇與間充質干細胞治療糖尿病足潰瘍相關的研究論文,表明間充質干細胞通過旁分泌信號和誘導分化機制在糖尿病足的皮膚再生和傷口愈合中發揮有益作用。

通常,傷口愈合過程是幾個步驟相互作用過程,最終導致功能性真皮、表皮層的修復和血運重建。傷口創傷愈合的基本過程:急性炎癥期→細胞增生期→瘢痕形成期→表皮及其它組織再生。
急性炎癥期:表現為充血、漿液滲出、中性粒細胞和巨噬細胞游出。傷口中的血液和滲出液中的纖維蛋白原凝固形成凝塊、痂皮,凝塊及痂皮保護傷口。
細胞增生期:急性炎癥期后傷口邊緣的整層皮膚及皮下組織由于傷口邊緣新生的肌成纖維細胞的牽拉作用向中心移動,使傷口迅速縮小。5-羥色胺(5-HT)、血管緊張素及去甲腎上腺素能促進傷口收縮。
瘢痕形成期:從傷口底部及邊緣長出肉芽組織(提供上皮再生所需的營養及生長因子),填平傷口;新生毛細血管增長;成纖維細胞產生膠原纖維,隨著膠原纖維越來越多,出現瘢痕,最終瘢痕與皮膚表面平行。
表皮及其他組織再生:傷口邊緣的表皮基底增生,并在凝塊下面向傷口中心移動,形成單層上皮,覆蓋于肉芽組織的表面,并增生、分化成為鱗狀上皮。
03 間充質干細胞促進糖尿病足的血管生成
再生醫學,特別是那些使用干細胞的療法,越來越多地被引入用于傷口愈合的治療方法中。間充質干細胞具有強大的增殖能力、分化能力以及低水平的免疫排斥反應,在合適的環境下,其可以分化成各種細胞類型。

注:間充質干細胞及其分泌作用在糖尿病足皮膚破潰治療中的作用
如圖所示,間充質干細胞通過以下過程促進糖尿病足創面的愈合。
間充質干細胞可通過分泌血管內皮生長因子(VEGF)、神經生長因子(NGF)、腦源性神經營養因子(BDNF)、血管生成素(Ang)、基質細胞衍生因子-1(SDF-1)、血管性血友病因子(vWF)、促紅細胞生成素(EPO)和缺氧誘導因子(HIF)遷移至傷口破潰處并促進血管新生。
間充質干細胞通過調節胰島素樣生長因子-1(IGF-1)、表皮生長因子(EGF)、基質金屬蛋白酶(MMP)、轉化生長因子(TGF-β)、角質細胞生長因子(KGF)、單核細胞趨化蛋白-1(MCP-1)和金屬蛋白酶的組織抑制劑(TIMP)來改善角質形成細胞的功能。
間充質干細胞可通過膠原蛋白-1(Col-1)、轉化生長因子(TGF-β)、纖維連接蛋白和堿性成纖維細胞生長因子(bFGF)的產生向成纖維細胞分化。
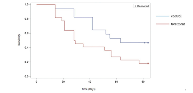
04 間充質干細胞治療后傷口完全閉合率達到了82%
近年來,國內外均有針對糖尿病足潰瘍的間充質干細胞在研產品取得進展。2019 年,韓國 Anterogen 研發了一款含脂肪間充質干細胞的藥物 Allo-ASC-DFU 用于治療糖尿病足潰瘍,其 II 期臨床研究成果已發表。

該 II 期臨床試驗共入駐了 59 位糖尿病足潰瘍患者,分為治療組(采用間充質干細胞片治療)以及對照組(采用聚氨酯薄膜治療)。每周將同種異體脂肪間充質干細胞片或聚氨酯膜用于糖尿病患者傷口之上。在 1-12 周的每周隨訪中對傷口進行評估。通過評估患者的完全閉合的 Kaplan-Meier 中位時間、傷口完全閉合率、糖尿病足 Wagner 分級來判斷患者傷口情況。

研究發現治療組的完全閉合的 Kaplan-Meier 中位時間僅為 28.5 天,而對照組則需要 63 天。在第 12 周的時候,治療組傷口完全閉合率達到了 82%,而對照組的傷口晚期閉合率只有 53%。此外,Wagner 分級表示治療組患者的恢復更快。
在治療期間,患者沒有出現嚴重的不良事件,在完成治療后繼續觀察了兩年,隨訪發現兩組患者均未出現與傷口治療相關的不良事件,肯定了間充質干細胞治療的安全性以及有效性。

05 干細胞治療糖尿病足臨床研究
在國內,2004 年我國谷涌泉等最先報道了采用移植自體骨髓干細胞治療糖尿病足,并且獲得較好效果。之后,解放軍第三軍醫大學西南醫院的臨床研究納入住院確診的糖尿病足患者 40 例,經體外擴增自體骨髓間充質干細胞移植后,患者肢體疼痛、冷感、間歇性跛行均有所改善,踝肱指數明顯升高,雙下肢血管顯像血流灌注有所增加,所有患者創面在治療后 2-4 周內均完全愈合。
我國已有開展干細胞療法針對糖尿病足的臨床研究,截至2022年11月,干細胞臨床研究備案項目中,有3個與糖尿病足相關。由此可見,我國干細胞治療糖尿病足的臨床研究正在有序發展當中。

目前,利用干細胞來治療糖尿病及其并發癥的臨床研究正在廣泛開展,相信未來,更多的糖尿病患者會受益于此項技術。
免責聲明:
我們尊重原創,也注重分享。圖文來源網絡,版權歸原作者所有,如涉及作品內容、版權或其它問題,請聯系我們刪除!


閩公網安備 35020602002648 號
QQ 客服